PACSALŮV ZÁKON
PACSALŮV ZÁKON:
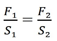
VÝPOČET SIL A PLOCH PODLE PASCALOVA ZÁKONU ZE VZTAHU:
![]() |
![]() |
TIP:
plochu S lze snadno dopočítat např ze vztahu pro
Kruh



