Dopocitej.cz - Přejít na úvodní stránku

VRH VODOROVNÝ:

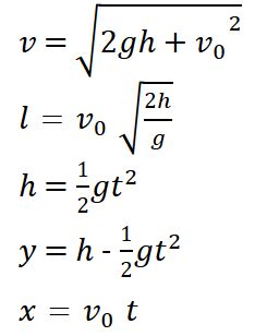
VÝPOČET DOPADOVÉ RYCHLOSTI, POČÁTEČNÍ RYCHLOSTI, ČASU, DÉLKY A VÝŠKY VRHU VODOROVNÉHO ZE VZTAHŮ:





Zadejte jakékoliv tři veličiny a zvolte všechny jednotky
VÝSLEDKY
Dopadová rychlost v = /
Počáteční rychlost vo = /
Tíhové zrychlení g = /
Čas t =
Výška h =
Délka hodu l =
 v
 vo
  g
  t
  h
  l


pozn.: výsledné hodnoty jsou zaokrouhlovány na tři desetinná místa